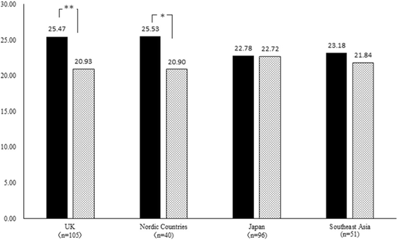
Fig. 2From: Seasonality in mood and behaviours of Japanese residents in high-latitude regions: transnational cross-sectional studyResults of the paired t-test on GHQ28 mean scores by season. Black shading: Winter; Dotted shading: Summer. Winter. SummerBack to article page